Pekeliling Kerja Lebih Masa

Waktu kerja biasa adalah bilangan jam bekerja yang diletakkan di dalam kontrak perkhidmatan.

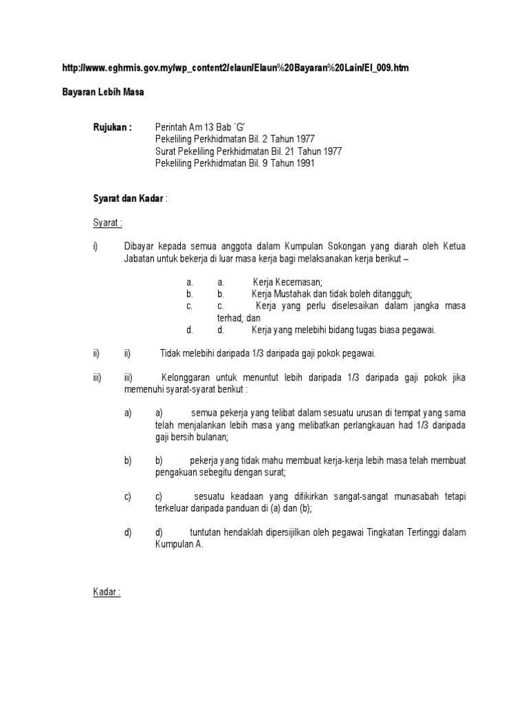
Pekeliling kerja lebih masa. Jenis kerja yang boleh dibayar elaun lebih masa kerja kecemasan. 11 4 pegawai yang diarahkan merujalankan kerja lebih masa bayaran lebih masa boleh dibayar tefiakluk kepada peraturan semasa berkaitan bayaran lebih masa. Borang tuntutan elaun lebih masa pekeliling perkhidmatan bil 2 1997 memo surat arahan kerja lebih masa pengesahan kerja lebih 8 jam sekiranya kerja lebih 8 jam memo arahan bertugas lebih masa melebihi 8 jam tanpa sebarang penolakan 1 atau 2 jam waktu berehat makan termasuk masa solat khas untuk pemandu sahaja.

Upah ikut jam atau kerja. E pekeliling perkhidmatan bilangan 17 tahun 2005. Kerja yang perlu diuruskan dalam jangkamasa yang terhad.

Jadi jika pekerja bersetuju untuk mengubah waktu jam bekerja ini tidak bermaksud dia akan terus mendapat kerja lebih masa memandangkan jumlah jam kerja dalam sehari masih tidak berubah dan hanya. Kerja malam sebarang giliran bertugas yang dilakukan antara pukul 10 00 malam hingga 6 00 pagi. K pegawai yang diarah menjalankan kerja kerja lebih masa tetapi telah diberi sesuatu imbuhan khas seperti saguhati adalah tidak layak diberi elaun lebih masa atau cuti gantian.

Apakah yang dimaksudkan dengan kerja lebih masa. Kkmm elm 01 borang arahan kerja lebih masa bagi bulan tahun. Melebihi dari bidang tugas biasa.

J masa pegawai tidak menjalankan kerja kerja lebih masa sebenar seperti berehat makan termasuk masa sembahyang iaitu selama i jam tidak dikira sebagai kerja lebih masa. Kerja siang giliran bertugas tambahan yang dikerjakan di antara jam 6 pagi hingga 10 malam. Kerja malam giliran bertugas tambahan yang dikerjakan di antara jam 10 malam hingga 6 pagi.

Kerja lebih masa adalah jumlah jam kerja yang dilakukan melebihi waktu kerja biasa di dalam satu hari. Kerja lebih masa adalah kerja kerja rasmi hakiki seseorang pegawai atau jabatan yang dijalankan atas arahan ketua jabatan di luar waktu bekerja biasa yang telah ditetapkan atau pada hari rehat mingguan atau pada hari kelepasan am. Kerja kecemasan tugas yang diistiharkan oleh ketua jabatan sebagai tugas.

Pindaan formula gaji harian imbuhan tetap khidmat awam bayaran lebih masa dan cuti rehat bergaji penuh bagi pegawai sambilan. Kerja yang tidak boleh ditangguhkan. C pekeliling perkhidmatan bilangan 7 tahun 1999skim bayaran.

11 5 pegawai yang dikehendaki menjalankan tugas rasmi di luar stesen clan kembali ke pejabat pada hari selesainya tugas rasmi tersebut pegawai. Jenis kerja lebih masa takrif bagi menentukan jenis jenis kerja yang boleh dibayar bayaran lebih masa.

Source : pinterest.com